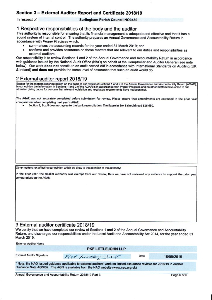
Annual governance statement 2019